北海道大学技術
整理番号:HK24-006
酸素センサー
世界最高レベルの高感をもつ光学式酸素センサー
概要
医療、航空、環境モニタリングなどにおいて、酸素濃度のセンシング技術が注目されている。中でも光学式酸素センサーは、有害物質を含まず、非消耗センサーとして有望である。一方、光学式酸素センサーは低酸素濃度下での測定が難しく、感度が低いという課題があった。
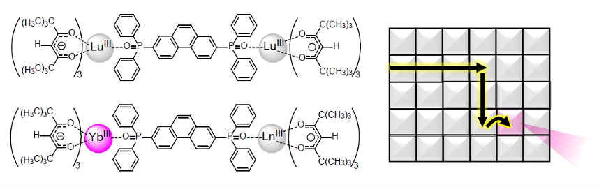
本発明は、発光性と非発光性の希土類錯体の混晶を用いた遅延発光システムに基づく酸素センサーである。希土類イオンとしてYb(Ⅲ)錯体とLu(Ⅲ)錯体を用いた混晶材料では、酸素濃度0kPaと21.3kPaにおける発光寿命の変化は約630倍であり、発光体を用いた酸素センシング能は世界最高レベルを有する。

性能・特徴等

応用例
・医療機器用光学式酸素センサー(呼吸器、麻酔)
・産業用酸素モニタリング(半導体、化学プラント)
関連文献
知的財産データ
知財関連番号 : WO2023/167278
発明者 : 北川 裕一、中井 拓真、島 かおり、庄司 淳、長谷川 靖哉、伏見 公志
技術キーワード: 蛍光体、希土類錯体、酸素センサ
